Table des matières
Utilisation de l'IBM Blue Gene/P de l'IDRIS : Le projet LQCD
Calculs de QCD sur réseau en Physique Hadronique (LQCD)
Responsable et collaborateurs :
- Olivier Pène - LPT Orsay
- Philippe Boucaud - LPT Orsay
- Benoit Blossier - LPT Orsay
- Olivier Brand-Foissac - LPT Orsay
- Pierre Guichon - CEA/IRFU SPhN Saclay
- Remi Baron - CEA/IRFU SPhN Saclay
- Jaume Carbonell - LPSC Grenoble
- Mariane Brinet - LPSC Grenoble
- Mauro Papinutto - LPSC Grenoble
- Vincent Drach - LPSC Grenoble
- Pierre Antoine Harraud LPSC Grenoble
Résumé du projet
L'enjeu de ce projet de recherche est d'étudier les propriétés et la structure interne des particules subissant l'interaction forte (hadrons) à partir des interactions entre les constituants élémentaires portant une charge de couleur (quarks et gluons). La théorie qui décrit ces interactions (« interactions fortes ») est la Chromodynamique Quantique (QCD), dont les principaux auteurs ont reçu le Prix Nobel en 2004. Le but de la QCD est d'expliquer la cohésion des noyaux ainsi que la structure des protons et des neutrons, c'est-à-dire l'essentiel de la matière visible de l'univers. Cette théorie ne compte que sept paramètres : une masse pour chacun des 6 quarks et une constante de couplage qui règle l'intensité de l'interaction forte. Elle permet d'interpréter un nombre immense de phénomènes physiques à partir de peu de paramètres et d'un formalisme mathématique bien défini et très compact. C'est l'une des théories physiques les plus élégantes de l'histoire des sciences.
Objet de la recherche, problématique scientifique
L'objet de nos recherches est d'obtenir les solutions de la QCD sur un réseau quadridimensionnel d'espace-temps, dont la longueur est typiquement de 3 à 5 fermis et dont la maille mesure moins de 0,1 fermi. Les gluons y sont représentés par des matrices unitaires 3×3 associées à chaque lien du réseau et les quarks se propagent de site en site. Les calculs, basés sur des méthodes stochastiques, sont très longs, en particulier quand ils prennent en compte l'apparition et la disparition de paires de quarks et d'antiquarks virtuels (calculs unquenched). Ces fluctuations quantiques sont cruciales pour respecter des contraintes fondamentales de la théorie (telles que l'unitarité) mais le temps de calcul pour les traiter croît très vite quand la masse des quarks diminue. Or la nature possède deux quarks particulièrement légers, le u et le d, qui constituent l'essentiel des protons et neutrons. Lorsque l'on prend en compte les fluctuations de ces quarks legers on parle de calcul avec Nf=2. Mais on peut également inclure les quarks charme © et étrange (s) ce qui rend les calculs bien plus lourds. On parle alors de simulations Nf=2+1+1. Régulariser la QCD sur un réseau d'espace-temps laisse un large arbitraire dans le choix de l'action discrétisée, dont la limite du continu doit redonner l'action de la QCD. Les simulations de QCD sont effectuées par différentes collaborations internationales, qui utilisent chacune divers choix d'action discrétisée. Parmi ces collaborations de calculs sur réseau, la collaboration ETMC (European Twisted Mass Collaboration, http://www-zeuthen.desy.de/~kjansen/etmc/), dont nous faisons partie, est particulièrement bien placée. Outre la physique hadronique, les configurations générées sur la BlueGene/P sont ainsi également exploitées par les membres de la collaboration ETMC pour l?étude de sujets aussi variés que la physique des mésons, la renormalisation non perturbative, le calcul de la masse des quarks, la physique des hadrons contenant le quark lourd dit charmé ©.
Caractéristiques du code et de l?implémentation sur la Blue Gene/P
Le code utilisé est HMC (pour Hybrid Monte Carlo). Il est parfaitement adapté à l'architecture de la BG et présente des propriétés presque parfaites de scaling avec le nombre de processeurs. Il est utilisé aussi bien pour générer les configurations de jauge que pour le calcul des propagateurs de quarks. Le nombre de coeurs demandés varie de 1/2 rack à 2 racks suivant la taille de nos réseaux (de 243x48 à 483x96) Le temps d'un run Nf=2+1+1 en utilisant 2 racks et un réseau 483x96 est de 2h par configuration ( soit deux 2 trajectoires Monte Carlo). On obtient ainsi environ 10 configurations utiles par jour. L'inversion de l'opérateur de Dirac nécessaire à l'obtention du propagateur d'un quark léger sur un réseau L=323x64 et avec 128 coeurs dure 1/2 heure.
Description des résultats obtenus
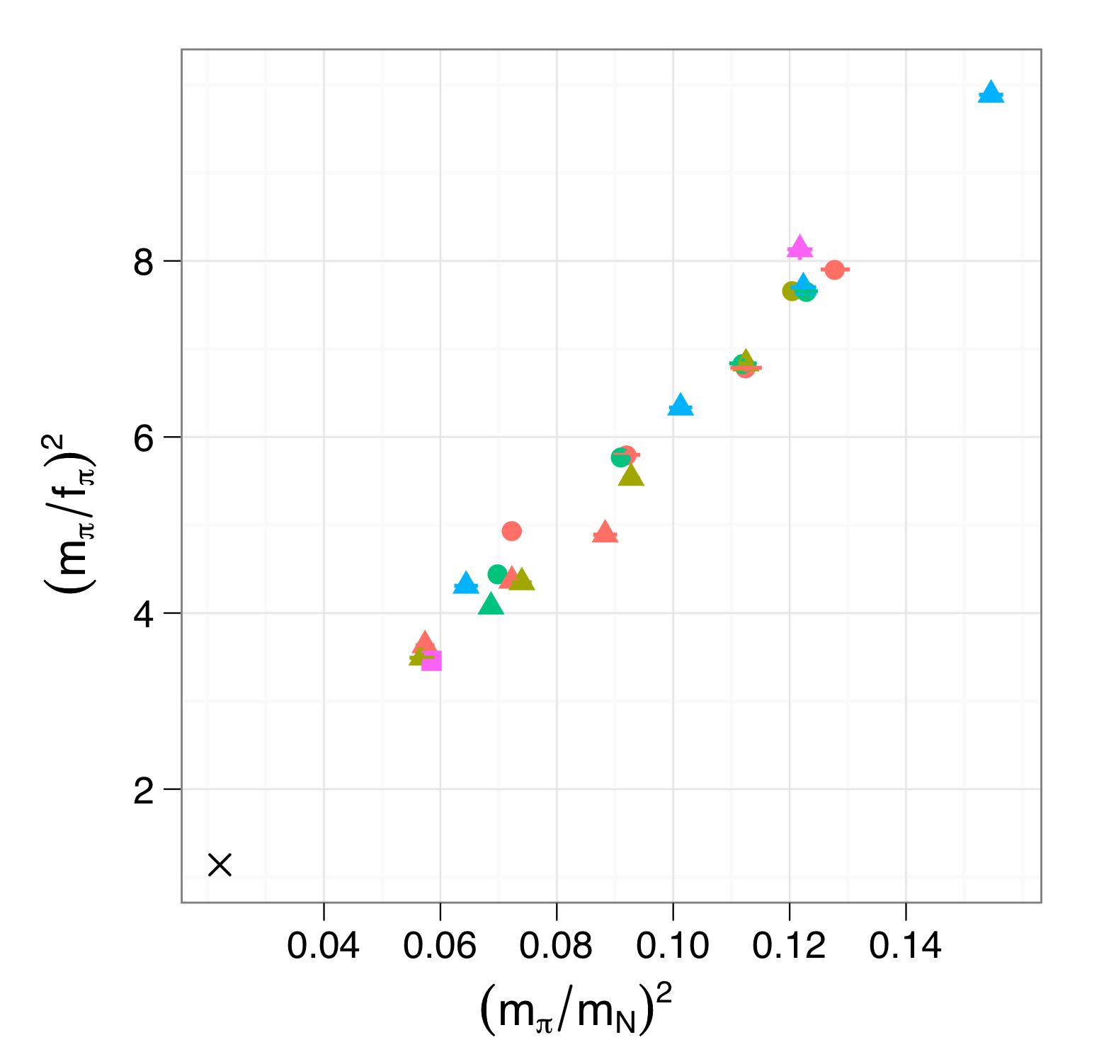
Pendant 2009 nous avons géneré un ensemble supplémentaire de configurations avec Nf=2 quarks unquenched et un pas de réseau a=0.05 fm, un des plus petits jamais simulés. Les principaux résultats concernent le spectre des baryons ainsi que les facteurs de forme décrivant leurs structures internes. Ils sont présentés dans les publications mentionnées ci-dessous et illustrés dans la figure 1. L'utilisation principale de la BG/P en 2009 a cependant consisté dans la géneration des configurations de jauge avec Nf=2+1+1 quarks dynamques (u,d,c,s). Les premiers tests sur des mésons, le Nucléon et le Delta ont été soumis pour publication [2]. La figure 2 montre un ensemble de résultats obtenus avec Nf=2 et Nf=2+1+1 avec, dans chaque cas, différentes valeurs du paramètre de maille a.
Fig1: Spectre de l'octet et decuplet de baryons obtenus par la collaboration ETMC avec Nf=2 (tiré de [1])
Fig2: Comparaison entre données Nf=2 (b=3.9,4.05,4.2) et Nf=2+1+1 (b=1.9,1.95) montrant les propriétés d'echelle. Le point physique est indiqué par une croix [6].
Références et publications associées (2009)
- [1] Low-lying baryon spectrum with two dynamical twisted mass fermions C. Alexandour et al, PRD80 114503 (2009)
- [2] Light Meson Physcis from Maximally Twisted Mass Lattice QCD R. Baron et al, hep-lat/ 0911.5061
- [3] First results of ETMC simulations with N(f) = 2+1+1 maximally twisted mass fermions. R. Baron et al, PoS(LAT2009)104 arXiv:0911.5244
- [4] Nucleon form factors with dynamical twisted fermions C. Alexandrou et al, PoS(LAT2009)145, e-Print: arXiv:0910.3309 [hep-lat]
- [5] Generalized parton distributions of the nucleon from twisted mass QCD C. Alexandrou et al, PoS(LAT2009)136
- [6] Performance of PHMC and HMC algorithms in Nf=4 LQCD with twisted Wilson quarks. A. Deuzeman et al. PoS(LAT2009)037 Nous voulions signaler aussi les trois thèses suivantes dont le travail a été fait en grande partie grâce à IDRIS:
- [7] Remi Baron (SPhN Scalay-LPT Orsay),
- [8] Benjamin Haas (LPT Orsay) et
- [9] Vincent Drach (LPSC).
Elle se trouvent - ou vont bientôt se trouver - sur http://tel.archives-ouvertes.fr/index.php


